
服務熱線
來源: 發表時間:2015-05-06 10:06:50 點擊次數:【】
巖礦破碎的強度理論 目錄導航:剪切破壞強度理論 脆斷破壞的強度理論 裂紋擴展理論
巖礦是一種多元力學結構的復雜體系,要從理論上弄清它的破壞原因是十分困難的,F代固體力學也無法指導巖礦的實際破碎工程計算。因此,巖礦的破碎只有采用力學強度理論來解決實際問題。這就是說,既然力學在理論上說不清巖礦為什么會破壞, 就干脆避開巖礦為什么會破壞的問題,而以某種力的狀態作為破碎的終極原因,釆用直接測量的辦法,測量巖礦斷裂的條件。但是,實際的測量也總是有限的,在最簡單的情況下是采用單位斷裂面積上受力的極限——極限強度來表示斷裂條件。巖礦的極限強度是通過實際測量的途擇得到的。然而,巖礦的應力形式又不是單一的,有時是多種形式的應力同時存在,而且每種應力下巖礦破壞的極限強度是不相同的。那么,在多種應力或組合中,究竟是哪一種應力、應變的極限狀態或其組合導致破碎的發生?不同的研究者認識不同,觀察研究的角度不同,因而就有不同的結論,于是,出現了不同的巖礦破碎的強度理論。下面介紹幾種常見的巖礦破碎的強度理論。
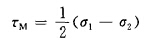
剪切破壞強度理論認為,物體中只要剪應力增長到某個極限,物體就要產生大的塑性變形而屈服、滑 移或破壞。這種理論甚至認為,一切破壞都是由剪切造成的。屬 于這一理論的有最大剪應力理論、內摩擦理論、八面體剪應力理 論等。按最大剪應力理論,當存在三個主應力且σ1>>σ2>σ3,并以壓應力為正,由力學分析知道其最大剪應力τm為:

式中σ1及σ2分別為最大和最小主應力。當

時,物體也就發生破壞。
固體的破壞理論中,剪切破壞強度理論是研究得比較多的,但此類破壞適用于金屬等塑性材料的破壞,而不適于巖礦材料的破壞。巖礦材料一般硬而脆,幾乎沒有塑性。大多數巖礦也是不可 壓縮的,其體積壓縮率的數量級約為10-6或10-7,即增加 101. 325kPa時巖礦的體積比較其原始體積減小百萬分之幾或千萬分之幾。對巖礦來說,往往屈服也就破碎了。而且,按最大剪應力理論推論,材料的單向抗拉強度和抗壓強度相等,這個結論對于巖礦是差得太遠了,巖礦的抗拉強度小于抗壓強度的十分之一左右。因此,剪切破壞強度理論對于巖礦材料的破壞是不合適的。
此理論認為,在三個主應力全是拉伸的情況下,以其中最大拉應力(σ3)是否達到某一臨界值來作為判斷物體破壞的依據,而對其余兩個拉應力則不考慮;在拉應 力和壓應力共同作用的情況下,則以最大拉伸應變達到某個限度 作為物體是否發生斷裂的依據,而這個限度可以通過試驗確定。最大拉伸應變ε3為:

式中 E——彈性模量;
μ——泊桑比;
σ1、σ2、σ3——三個主應力。
對脆性大的礦物而言,ε3值不大,韌性大的礦物ε3較大,即脆性礦物比韌性礦物易破碎。
按照此最大拉伸變形理論必然推得關系:

此式中的泊桑比μ值平常在0.2~0.5范圍,故脆斷的抗壓強度是 抗拉強度的2~5倍。但對巖礦來說,此數值顯著小于實際數值, 這也許是由于實際巖礦材料中隱藏著裂隙或脆弱面的緣故。與前面的剪切破壞強度理論相比,脆斷破壞強度理論對巖礦材料要更適合一些。
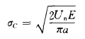
裂紋擴展理論是由A.格里菲斯于1921年提出來的。他提出這一理論是基于破碎玻璃實際耗費的能量只有理論數值的三萬分之一這樣一個事實。他做的實驗證明,脆性材料中由于內部存在細微的裂紋缺陷,抗拉強度將大幅度地降低。他提出的假說認為,試件內存在微裂縫,而裂縫尖端有高度的應力集中,以致使裂縫擴展并造成破壞。格里菲斯提出計算臨界載荷的公式為:

式中 Un——表面能;

E——彈性模量;
α——裂縫之半的寬度。
裂縫擴展理論比較適合巖礦材料的破壞,因為巖礦材料既隱藏有缺陷,又具有脆斷的待性,破壞過程有裂縫產生和擴展。
圖5表示一個橢圓裂紋附近的應力分布情況。從圖可見,在離孔遠處,應力分布受孔的干擾很小,基本上是均勻分布的。在長軸的兩端點上,有高度應力集中,而在短軸兩側,應力被卸除,形成低壓區。當橢圓的短軸長度衰減至零時,便是一條長度為2α√σπ的裂紋。當ρ≤α時,最大應力為:
形成低壓區。當橢圓的短軸長度衰減至零時,便是一條長度為2α的裂紋。當ρ≤α時,最大應力為:

而裂紋附近的各種應力及位移都和Yσ√πα有關,Y是和裂紋方向、型式、尺寸、位置有關的一個系數。用符號K來表示Yσ√πα稱為應力強度因子。Y值可由專門的分析得到,在手冊中可以查到。
當載荷σ或裂紋長度α達到某一臨界數值,正好足以使裂紋 發生擴展,在這種臨界狀態下的應力場強度因子就稱為斷裂韌性 Kc,它是有裂紋材料斷裂難易的一個判據。裂紋尖端附近的應力 場強度因子Kc達到什么程度時裂紋才會擴展?單憑力學是冋答不了這個問題的,和前面的力學強度理論一樣,必須通過實際測定才能給出斷裂韌性的數值來。
這里必須強調指出,巖礦材料由于自身力學性質的特殊性,它的破壞與材料力學中的梁、軸、柱等的破壞有著本質的區別,故用材料力學中拉、壓、剪應力極限作破碎判據就顯得不完善。材料力學中研究的各種材料,其抗壓、抗拉、抗剪和抗彎的極限強 度對某種材料而言幾乎是個常量,即每種材料均有自己的材料常 量。但巖礦則不同,不同礦體中產出的同種礦石,或同一礦體中 不同部位產出的礦石,其力學強度均不相同,很難確定巖礦的力 學性質常量,即使同種礦石的某種極限強度測定量值波動范圍也 很大。這就使巖礦的破碎判據很難確定,即使是前述的三個強度理論,仍然不成熟和不完善,只有借助于試驗測量來確定巖礦的 極限強度。盡管如此,三個破壞的強度理論均明確指出,巖礦的破壞是由于礦塊某種應力超過極限強度所引起的,而且,三個理論也為深入研究巖礦的破碎問題提供了有價值意見。
上述的研究現狀表明,當要對巖礦的破碎作精確的工程計算時,如要計算球磨機中不同礦塊破碎所需的精確破晬力時,靠力學計算是無法解決問題的,也無可靠的巖礦力學常量可供使用,最科學的辦法是按破碎工程的需要進行實際測量。由于各選廠處理的礦石力學性質不一樣,若要計算所需的精確破碎力,只有對該廠礦石進行實際測量。只有這樣才能精確選擇鋼球尺寸。
上一篇:分析磨礦與選別作業的關系
下一篇:碳素材料的破碎與篩分工藝流程