
服務熱線
來源: 發表時間:2015-05-07 17:18:09 點擊次數:【】
篩分作業通常用于粒度為1mm以上物料的分級;但是,近年來,細篩已成功地用于小于1mm物料的分級,因此,在工業應用中,最小篩孔尺寸達0.05 mm。篩分作業在冶金工業中是不可缺少的。此外,在煤炭、建筑、化工和其他工業部門中也廣泛應用。在選礦廠中,篩分通常可以作為輔助作業、準備作業,也可作為篩選作業。篩分作業按照用途不同可分為以下幾類:
將松散物料分為若干個級別,然后,分別送至下一步工序進行處理,稱為準備篩分。例如,某些鎢礦在重力選礦前將破碎產品用篩子分為粗粒、中粒和細粒,分別送往不同 的跳汰機進行選別。
物料進入破碎機之前,用篩子將物料中小于破碎機排礦口寬度的細粒級篩分出去,僅將大于排礦口寬度的物料給入破碎機進行破碎,從而減少破碎機的負荷和避免物料過粉碎。幾乎在所有破碎機之前,都設置預先篩分作業。
對破碎機的產品進行篩分,使篩上產品(大于規定的粒級)返回破碎機再破 碎的篩分作業,篩下產品則為該破碎段的合格產品。一般只在最后一段破碎作業中采用。
將物料按用戶要求篩分成若干粒度級別,直接作為出廠產品的篩分作業。例如在黑色金屬礦山的破碎篩分廠中,將富鐵礦石用篩子分成粒度不同的級別供給高爐冶煉;在選煤廠常將煤炭篩分成大小不同的級別直接供應用戶。
當物料中有用成分在各個粒級中的分布有顯著差別時,可以通過篩分將有 用成分富集的粒級同含有用成分較少的粒級分開,前者作為粗精礦;后者送選別工序或當作尾礦丟掉。這種對有用成分起選擇性作用的篩分作業,實質上是一種選別工序,因而也稱為"篩選"。 在鐵礦磁選流程中所采用的細篩就是一例。
除此之外,在選礦廠中,有時篩分作業也可作為脫水、脫介篩分或者洗礦篩分。
篩分作業一般采用干法。但對于潮濕物料及夾帶泥質的物料,進行干法篩分很困難,需要采用在篩面上噴壓力水,將細粒級及泥質沖洗下去。
松散物料的篩分過程,可以看作由兩個階段組成:(1)小于篩孔尺寸的顆粒通過篩上顆粒所形成的物料層到達篩面;(2)小于篩孔尺寸的顆粒透過篩孔。
要使這兩個階段能夠實現,物料在篩面上應有適當的運動,一方面要使篩面上的物料層處于松散狀態,有利于物料層產生析離,即按粒度分層,大顆粒在上層,小顆粒位于下層,容易到達篩 面,并透過篩孔。另一方面,物料和篩子的運動應促使堵在篩孔上的顆粒脫離篩面。
篩分實踐表明,粒度小于篩孔3/4的顆粒,很容易通過粗粒物料在篩面上形成的間隙,到達篩面,到篩面后很快就透過篩孔。因此,這種顆粒在可篩性上被稱為"易篩粒"。粒度大于篩孔 3/4的顆粒,通過粗粒組成的間隙比較困難,所以也難以透過篩孔;而且顆粒直徑愈接近篩孔尺寸,透過篩孔的困難程度就愈大,這種顆粒被稱為"難篩粒"。原料中含的"難篩粒"數量愈少,篩分愈容易,在相同的篩分條件下,所得的篩分效率也愈高。下面根據礦粒通過篩孔的概率理論來進行說明。
礦粒通過篩孔的可能性稱為篩分概率。一般來說,篩分概率與下列因素有關:(1)篩孔尺寸; (2)礦粒與篩孔的相對大小;(3)篩子的有效面積;(4)礦粒運動方向與篩面的夾角;(5)礦粒的含水量和含泥量。
由于篩分過程是許多復雜現象和因素的綜合,因此不易用簡單的數學式來確切地描述,這里僅僅從顆粒尺寸與篩孔尺寸的關系進行討論,并假設某些理想條件(如顆粒是垂直地投入篩孔), 得到顆粒透過篩孔的概率公式。
松散物料中粒度比篩孔尺寸小得多的顆粒,在篩分開始后,很快就落到篩下產物中,粒度與篩孔尺寸愈接近的顆粒,透過篩孔所需的時間愈長。所以,物料在篩分過程中透過篩孔的速度取決于顆粒直徑與篩孔尺寸的比值。

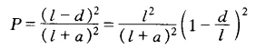
研究單顆礦粒透過篩孔的概率如圖2-6所示,假設由一個無限細的篩絲制成的篩網,篩孔為 正方形,每邊長度為l。如果一個直徑為d的球形顆粒,在篩分時垂直地向篩面下落,可以認為, 顆粒不與篩絲相碰時,它就可以奄無阻礙地透過篩孔。換句話說,要使顆粒順利地透過篩孔,在顆粒下落時,其中心應投在繪有虛線的面積(l-d)2內,見圖2-6a。由此可見,顆粒透過篩孔或者不透過篩孔是一個隨機現象。有利于顆粒透過篩孔的機會的次數與面積(l-d)2成正比,而顆粒投到篩孔上的次數則與篩孔的面積L2成正比。因此,直徑為d的顆粒每次跳動的透篩概率等于可以透過篩孔的面積(l-d)2與篩孔面積/2之比。即

由式2-18可見,顆粒直徑愈接近于篩孔尺寸,P值愈小,當d = L時,P = 0。
若考慮篩絲的尺寸圖2-6b,與上面所討論的原理一樣,得到顆粒透過篩孔的概率公式

式中a——篩絲直徑。
上式說明,篩孔尺寸愈大,篩絲和顆粒直徑愈小,則顆粒透過篩孔的可能性愈大。還可以看出,篩孔面積與篩面面積之比l2/(l + a)2愈大,則透篩概率愈高。
取不同的d/l比值,按式2-18計算出的尸值列于表2-4。

由表2-4可見,相對粒度d/l愈小,透篩概率愈髙,這就是細粒物料容易透過篩孔的原因。 通常稱相對粒度d/l<0.75的顆粒為"易篩粒";而與篩孔尺寸愈接近的顆粒透篩概率愈低,當相對粒度接近于1時,其透篩概率趨近于零。因此,在篩分實踐中,通常把相對粒度介于0.75~ 1.0的顆粒稱為"難篩粒"。
上一篇:磨礦的理論與工藝
下一篇:磨機內鋼球的運動狀態和磨礦作用