
服務熱線
當前位置:首頁>媒體中心>產品百科>如何實現傳統立式復合破的突破
來源: 發表時間:2015-04-21 14:53:51 點擊次數:【】
隨著立式復合破碎機技術的不斷發展進步,傳統形式的立式復合破碎機在產品結構、性能、適用范圍等方面已遠遠不能滿足社會發展的需要,目前市場上立式復合破碎機在實際應用中存在的主要問題是:復合破的上、下破碎腔之間設置有隔板,當破碎機工作時,上、下破碎腔之間的隔板易產生堵料現象,造成物料通過量小、產量低、設備能耗大等問題;二是復合破的上、下甩料盤的筋形狀不合理,接近外邊緣的筋磨損很快,造成壽命短、材料利用率低,增加用戶的設備維護工作量和使用成本。
針對這些疑難問題,我們認真分析研究了國內外細碎技術,突破傳統的思維模式束縛,解決了傳統復合破的存在問題和不足,使立式復合破碎機的結構原理和技術性能有了質的飛躍。
傳統立式復合破碎機的甩料盤和破碎腔的問題分析如下:
對于甩料盤結構的材料利用率低、不耐磨的問題,我們根據甩料盤的實際磨損特性,對甩料盤的結構進行了創新設計。

圖1 老型PFL系列的甩料盤 圖2 新型PFL- III系列的甩料盤
老型PFL的甩料盤結構如圖1所示:由于甩料盤的筋靠近圓周邊緣的切線速度比內側要高、磨損要快,材料利用率很低(不足10%),甩料盤筋的形狀和磨損位置如圖1所示。
新型PFL-Ⅲ的甩料盤結構如圖2所示:甩料盤由甩料筋和甩料襯板圓周交叉均布組成,甩料筋磨損后可做甩料襯板用;甩料筋的形狀也進行了創新設計,根據其工作磨損特性(切線速度大、磨損相對就快),甩料筋的形狀設計為由里到外逐漸加寬、加高(如圖2所示),以實現同步磨損、提高材料利用率的的目的。
通過實踐證明,新型PFL-Ⅲ型甩料盤大幅度提高了材料利用率和壽命,材料利用率達50%以上,壽命比老型提高了近10倍,降低了用戶的使用成本和維修工作量。

圖3 傳統立式復合破碎機的破碎腔結構
目前大多立式復合破碎機的破碎腔結構有兩種如圖3所示:a為上、下轉子圓柱形,b為上錐形、下圓柱形轉子,上、下轉子間的環形隔板或篦板將破碎腔分上、下兩部分,上下轉子圓周均布有錘頭,旋轉的轉子錘頭與反擊板之間形成環形間隙,且由上至下的間隙是由大到小,一般情況下,上部為中碎破碎腔,下部為細碎破碎腔。
環形隔板或篦板的作用是:物料通過第一破碎腔破碎后,在環形隔板或篦板上自然形成堆積角,將物料導向下甩料盤,使其二次加速重復上一級的破碎過程。由于筒體高度的局限性,使上、下轉子間距較小,環形隔板或篦板距上轉子錘頭太近,不但形不成自然堆積角,反而經常引起堵料和上錘頭的過度磨損。
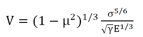
下甩料盤的理論作用是:當大塊物料通過上部腔的破碎作用后,碎至40mm左右,落到下甩料盤上獲得二次加速,使物料獲得足夠的能量并拋射到反擊板上實現沖擊破碎。若要實現沖擊破碎,物料必須獲得足夠的速度,對于沖擊破碎所需要的速度,目前國內教材使用的公式是:

計算得:V = 31.8m/s。
式中: V —— 礦石沖擊速度,m/s
μ —— 礦石泊松比。(μ取0.25)
γ —— 礦石密度,kg/m3。(γ取2400 kg/m3)
σ —— 礦石抗壓強度,Pa。(σ取160 MPa)
E —— 礦石彈性模數。(E取80 GPa)
大多數礦石的泊松比為0.25左右,礦石的密度2200~3000 kg/m3,礦石的抗壓強度為160~250MPa,彈性模數為60~100GPa。
立式復合破碎機的下甩料盤的圓周切線速度υx一般為為28~40m/s,由于該處用于加速物料的下甩料盤是一個開式的盤狀結構,物料在甩料盤上翻滾、滑動、摩擦現象嚴重(通過觀察甩料盤磨損情況,靠近邊緣的甩料筋磨損嚴重,且劃痕是接近"圓弧形"的拋物線狀),所以,甩料盤上物料的實際切線速度υx,要低于下甩料盤的圓周切線速度υx:
υx,=υx?β=(28~40)×0.7 = 19.6~28( m/s)
式中:υx`——物料的圓周切線速度,m/s。
υx ——下甩料盤的圓周切線速度,m/s。(一般取28~40m/s)
β ——物料的圓周切線速度系數。(一般取0.7)
由以上計算可知,下甩料盤上物料不能達到沖擊破碎所需的的切線速度,無法給物料提供足夠的推力使其獲得同轉子相同的切線速度,此時的下甩料盤充當的是"撒料器",將落在其上面的物料撒向四周,起不到應有的沖擊破碎作用。

圖4 PFL-Ⅲ 立式復合破碎機結構示意圖
立式復合破碎機的破碎過程是通過式破碎,其破碎腔的設計理念要體現其破碎過程的通暢無阻,從而提高生產能力。根據以上分析,我們打破傳統的由隔板分為上、下兩破碎腔的結構原理,將隔板去掉,為了使破碎粒度更細,增加了中轉子(如圖4所示),上、中、下轉子合并,與筒體反擊板形成直通式多級連續破碎腔,由上至下復合了打擊、反擊和擠壓、研磨的破碎形式,實現了物料的中碎、中細碎、細碎,使能量和空間得到充分利用,從而提高機器的性能。因其破碎過程為通過式破碎,物料的通過量大,通過速度快,因而產量就高,相對而言,能耗就少。此結構不但可以解決堵料問題,減少了堵料引起的錘頭磨損,還取消了下甩料盤、降低筒體高度,充分利用破碎腔空間,達到最佳的破碎效果和提高產量。
上一篇:顎式破碎機的檢查維護及故障處理
下一篇:選礦的工藝流程