
服務熱線
來源: 發表時間:2015-04-29 08:19:20 點擊次數:【】
砂石骨料生產系統是開采和加工混凝土粗、細骨科的生產企業,包括采料場、骨料加工廠、堆料場和內部運輸系統等。它的仟務是及時供應混凝上拌和所需要的質量合格、數量充足和成本低廉的粗細骨料。
骨料生產系統的設計內容主要有勘探和選擇料場.確定料源、開采相運輸方法骨料加工廠位置,確定其生產能力祁工藝流程;進行骨料堆存設計和質量控制等。
料場選擇應根據料場勘探成果、開采和運輸條件、混凝十骨料需要星以及各階段的施工特點進行通盤考慮。盡可能選用儲量集中、質地優良、級配適宜、運距較近、場地開闊、開采季節長的料場,以便于集戶管理相機械化施工,并減少毛料的運輸量。
料場選擇應滿足水工混凝土對骨料質量的要求.包括骨科的強度、抗陳性、化學穩定件、顆粒形狀、級配和雜質含量等。水工混凝土的粗骨料多用四級配,即小石、中石、大石、特大石。砂子稱為細骨科,其細度模數為2.4-2.8。
在確定骨料來源時,應以就地取材為土,優先考慮采用天然骨料。當主體工程10km范圍內,無足夠天然骨料時、應研究開采人工骨料的可能性和合理性。
當采用天然骨料時,應確定砂礫料的開采量。由于砂礫料的天然級配(即各級骨料篩分后的百分比含量,由料場篩分試驗測定)與混凝土骨料需要的級配(由配合比設計確定)往往不一致,因此,不僅砂礫料開采總量要滿足要求,而且每一級骨料的開采量也要滿足相應的要求。
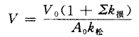
砂礫料的開采總量可按下式計算,即

式中 V——根據某級骨科需要量確定的砂礫料開采總量,按自然方計;
VO——某級骨料的需要量,校松方計;
AO——該級骨料的天然級配含量;
ΣK損——砂礫料在開采、運輸、加工儲存過程中的總損失系數,可參照概算指標或類似工程資料確定;
K松——可松件系數,可取1.3。
按照式(14—1)的計算方法,應分別計算每一級骨料相應的開采總量,并取其中最大值作為計劃的開采總量。
在實際開采中,砂礫料的大石含量通常過多,而中、小石含量不足,如按中、小石需要量開采,大石將過剩,造成浪費。解決的措施是增設破碎設備、將大石或超徑石破碎為中、小石,以彌補短缺骨料的不足,可減少開采總量。此外,還可以在許可范圍內,適當調整混凝土的設汁配合比,以減少短缺骨料的需要量。
當采用人工砂石骨料時,應計算塊石的開采量。塊石開采量主要按塊石開采的成品獲得率(如大于0.6應優先考慮)和混凝土骨料需要量計算。人工骨料的級配可通過碎石機進行調整。
天然骨料成人工骨料的開采強度,可根據計劃規定的混凝土澆筑強度,結合料場開采的有效工期和堆料場容量確定。
砂礫料有陸地開采和水下開采兩種。陸地開采主要采用l一4立方米正向鏟開挖,90一320馬力推土機集料,常配60t準軌礦車、窄軌礦車或10一20t自卸汽車運輸。水下開采主要采用鏈斗式采砂船。在江心采料時,由于采砂船拋錨定位,不能自航.故需用50—180立方米的駁船裝料,由200一570馬力的拖輪拖至碼頭卸料、再由上岸皮帶機運到毛料堆場堆存。采用采砂船水下開采,生產率高,但細砂容易流失,應盡量創造靜水開挖的條件。
索鏟適用于灘地和淺水開采,但水深”’般不超過2m。由于索鏟直接裝車對準車箱比較困難,故常卸于臨時料堆,再用正向鏟裝車。
加工人工骨料的塊石,應充分利用工地開挖的石渣,如質量符合要求,應優先選用。塊石開采,主要采用深孔梯級爆破法。淺孔爆破的塊石比較均勻,但鉆孔工作量大,單位耗藥量多,故只適于小型工程采石或輔助性作業。洞室爆破的塊石,塊度較大,往往需要二次改炮,費工費時,且單位耗藥量大。因此, —般只在開采初期,創造采石場梯級開采條件時才采用洞室爆破。
骨料運輸,可采用準軌礦車、窄軌礦車、自卸汽車、機動翻斗車、拖拉機等運輸工具,視實際施工條件而定。在運量大、運距不長的情況下,采用皮帶機運輸最適宜。
骨料加工包括破碎、篩分、沖洗等加工過程,一般在專門的骨料加工廠加工。
骨料加工廠一般設在采料場附近,以減少毛料運輸量。廠址附近應有足夠的堆料場地,高徑適合,地基穩固,進料和出料運輸方便,不受洪水威脅。選擇的廠址還應少占農田,并距離居民區300m以上,以減輕噪音和粉塵的影響。
確定骨料加工廠的生產能力有以下兩種方法。
其計算公式為

式中π——骨料加工廠的生產能力;
Q——混凝土最高月澆筑強度;
α——混凝土所需砂石料數量;
M—一每月工作天數,按25天計;
m——每日工作時數,正常情況下按二班制14h計算;如采用三班制,可按20h計算;
k——生產不均勻系數,對天然骨料為1.2—1.7;對人工骨料為1.2一1.3。
這種計算方法,沒有考慮骨料堆場的調節作用,所以計算出來的生產能力偏大。
先根據混凝土澆筑計劃,繪出骨料需要量累計曲線,然后繪出骨料生產量累計曲線,圖14—2所示。

在編制生產量累計曲線時,應注意骨料生產量、樹堆儲存量和骨料需要量三者之間的關系。
(1)生產量累計曲線總是在需要量累計曲線的上方。它們之間的垂直距離,表示骨料成品料堆的儲存員,此儲量應大于最小安全儲量,但不能超過堆場的容量。
(2)生產量累計曲線的起點和終點,應比需要量累計曲線提前一定時問。起點提前時間T。通常為10—15天,終點提前時間
由施工計劃確定,但不能少于10—15天。
生產量累計曲線的各段斜率,代表加工廠各時段的生產強度。其中,斜率最大值可確定為加工廠的生產能力,相應斜率最大的時段,即為骨料加工的高峰期。
骨料加工廠的生產能力為

式中 π——骨料加工廠的生產能力;
V——骨料加工高峰期的總產量,包括損失在內;
T——高峰期延續時間,月;
K1——高峰期生產不均勻系數.約為1.0-1.4;
K2——時間利用系數,約為0.8;
m、n的意義同式(14—2)。
骨料堆場的作用在于儲存一定數量的砂石料,以解決骨科生產與需求之間的不平衡。骨料儲存分毛料堆存、半成品料堆存和成品料堆存三種。毛料堆存在于解決骨料開采與加工之間的不平衡;半成品料(經過預篩分的砂石混合料)塔存在于解決骨料加工各工序之間的不平衡;成品料堆存在于保證混凝土連續生產的用料要求,并起到降低和穩定骨料含水量(持別是砂料脫水)、降低或穩定骨料溫度的作用。
砂石料的總儲量,一般可按高峰時段月平均值的50%一80%考慮時須按停采期骨料需要量外加20%裕度校核。
成品堆場容量,尚應滿足砂石料自然脫水要求。
(1)臺階式料倉。如圖14—3所示,利用高差地形,將料倉布置在進料線路下方,出汽車或鐵路礦車直接卸料。料倉底部設有出料廊道(又稱地弄),砂石料通過卸料弧形閥門卸在皮帶機上運出。為了擴大堆料容積,可用推土機集料或散料。這種料倉設備簡單,但須有合適的地形條件。
(2)棧橋式料倉。圖14—4所示,地面亡架設棧橋.棧橋頂部安裝有皮帶機,經卸料小車向兩側卸料。料堆里長條形,中廊道內的皮帶價出料。這種利用棧橋堆料的方式,可以增大堆料高度(可達9一15m),減少料堆占地面積。但骨科跌落高度大,易造成遜徑和分離,間且料堆自卸容積(位十骨料自然休止泊斜線中間的容積)小。

(3)堆料式料倉。堆料機是可以沿軌道移動,有懸臂擴大堆料范圍的專用機械。雙懇臂堆料機如圖14—5所示。動臂堆料機如圖14—6所示,動臂可以旋轉和仰俯(變幅范圍在土16°之間),能適應準料位置和堆料高度的變化,避免骨料躍落過高,產生遜徑。

堆料機是一種較先進的設備,其準料能力可達600t/h。為了增大堆料高度,常將其軌道安裝在土堤頂部,出料廊道則設于土堤兩側。
設計料倉時,料倉的位置和高程應選擇在洪水位之上,周圍應有良好的排水、排污設施,地下廊道內應布置集水并、排水溝和沖洗皮帶機污泥的水管。料倉有關結構設計要符合安全、經濟和維修方便的要求,盡量減少骨料轉運次數,防止棧橋排架變形和廊道不均勻沉陷。
要防止粗骨料跌碎和分離,應將跌落高差控制在3m以下,皮帶機接頭處高差控制在1.5m以下。堆料時,應分層進行,逐層上升。要重視細骨料脫水,并保持潔凈和一定濕度。細骨料在進入拌和機前,其表面含水率應控制在5%以內,濕度以3%一8%為宜,過干容易分離。
成品料倉各級骨料的堆存,必須設置可靠的隔墻,以防止骨料混級。隔增高度按骨料自然休止角(34°—27°)確定.并超高0.8m以上。

上一篇:影響顎式破碎機工作的主要因素有哪些
下一篇:球磨機的優缺點及工作原理