
服務熱線
來源: 發表時間:2015-05-04 10:47:40 點擊次數:【】
粉碎過程耗能很多,所以過去對粉碎過程的研究主要是研究功耗問題。現在這方面的研究已取得較多進展。然而,單純功耗理論不是全部粉碎理論,功耗—粒反函數亦不適于描述整個粉砰過程。因而有必要研究粉碎設備的給料和排料之間的關系。
由圖1-9可知,粒度分布的變化是不連續的,而是具有若干峰形曲線的多組成分布。要研究第1組成的粒子是如何進入第2、第3或第n組成的,即要確定各組成間的移動速度,也就是用解析的方法確定速度常數。這是模似化學反應的考慮方法。
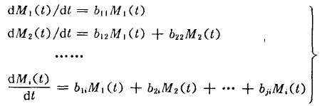
胡基、謝得拉切克和巴斯提出了下列聯立方程式

式中M(t)為粉磨t時間后粒度x的篩下量,b(i≠j)表示第j組成的粒子粉碎后進入第i組成移動的質量比例人表示第i組成的粒子粉碎后原粒子的殘留比例;b表示第i組成粒子粉碎成比第i組成小的粒子的移動比例。
方程織(1—43)的解如用行列式表示時,則粒應分布等可用矢量表示,而顆粒各粒度組成間的移動速度可用矩陣表示。
這是將粉碎速度論和粉碎產物粒度分布聯系起來的有效方法。布勞得本特和卡爾考特于1956年提出了如下的粉碎過程的矩陣表示法。
卡爾考持以任意幾何間隔單位。(如篩比)來劃分粒度組成,并把1-a。a-a²,a²-a³,…各間隔的頻率看作列矢量,給料粒度的分布式定義為

為了研究方便,利用上述表示方法,設粒度分布矢量f={30 20 10},并設實際粉碎中正好有一半粒子受到粉碎,即{15 10 5}受到了粉碎作用。由表1—9可知,該表最下面總計欄內為粉碎前的粒度分布矢量。經過粉碎后,各粒級的顆粒向更小的粒級變移,其變移的比例(百分數)表示在縱列欄內。例如在開始時處于1-a之間的顆粒,經粉碎后在1-a間隔內殘留6,轉移到a-a²間隔的為3,a²-a³間隔的為3,而其余的(3)則轉入比a³更小的間隔。其次,原來處于a²-a³間隔的顆粒經粉碎后在a-a²間隔殘留4,轉移到a²-a³間隔的為2,轉移到比a³更小間隙的為(4)。各粒度相互之間的變化對最初的{15 10 5}的比例可表示如下


此矩陣表示了粉碎前后各組成粒子的移動狀態,即表示了粉碎特性,故將其定義為碎裂矩陣B,或稱碎裂函數。卡爾考特假定B為如下階梯矩陣

由表1—9可見,粉碎后總計欄表示受粉碎作用的粒子粉碎后的分布。如加上未受粉碎作用的部分,則可得最后一列所示的粉碎后全部粒子的分布,即粉碎作用產生了{30 20 10}—{21 17 12}粒度分布的變化。
如將這一過程用矩陣表示則可寫成下式

式中P為初碎產物的粒度分布列矩陣,I為單位矩陣,S為選擇函數。
進入粉碎過程的各個粒級受到的碎裂見有隨機性質,即有的顆粒受破裂多些,有的少些,有的則直接進入產品而不受破裂,這就是所謂選擇性或稱概率性。用S表示受到粉碎作用顆粒的比例,即粉碎概率,稱為選擇函數,并假定為對角陣

在本例中S=0.5。
本例P的計算如下

上述是一次粉碎的情況。矩陣模型是把粉碎過程看作一系列川繼發生的粉碎事件,后一次的給料是前一次的產品,對于二次反復粉碎則為

因而在進行n此反復粉碎后,則成為

由于缺少提供關于物料固有碎裂特性的非破壞性試驗方法,所以碎裂函數B是一個很難用實驗方法確定的兩數。但是,在給定設備中粉碎特定物料時,存在一種持有的產品粒度分布形式,它和被碎料的性質和對其施加作用力的條件有關。布勞得本持和卡爾考特于1956年建議采用羅辛—拉姆勒方程的修正式表示,即

式中B(x,y),表示原來粒度為y經粉碎后小于x粒徑的質量分數。因而有的學者把破裂函數B又稱為分布函數。
對于選擇函數S來說,與粉碎機械的粉碎機理、碎料的性質和粒徑等有關。但是至今還沒有理論解,只是用實驗的方法在特定粒度范圍內有如下的關系

式中x為粒徑,K和α為常數。
上一篇:關于粉碎理論的研究成果
下一篇:篩分效率及影響篩分效率的因素