
服務熱線
當前位置:首頁>媒體中心>產品百科>篩分效率及影響篩分效率的因素
來源: 發表時間:2015-05-04 11:00:04 點擊次數:【】
從理論上講,固體廢物中凡是粒度小于篩孔尺寸的細粒都應該透過篩孔成 為篩下產品,而粒度大于篩孔尺寸的粗粒應全部留在篩上,排出成為篩上產品。 但是,實際上由于篩分過程中受各種因素的影響,總會有一些小于篩孔的細粒留 在篩上隨粗粒一起排山成為篩上產品,篩上產品中未透過篩孔的細粒越多,說明 篩分效果越差。為了評定篩分設備的分離效率,引入篩分效率這一指標。
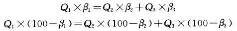
篩分效率的計算公式如下:

式中:η為篩分效率,%;Q1、Q2、Q3為入篩、篩上、篩廠固體廢物重量,Q1= Q2十Q3;β1、β2、β3為入篩、篩上、篩下固體廢物中小于篩孔的細粒累積含量,%; εx、εc為細粒采收率、粗粒采收率。

評價篩分效率,要求小于篩孔的細顆粒盡可能透篩,大于篩孔的粗顆粒應不 穿過篩孔。篩分效率還有其他的計算公式。這里就不一一介紹。
固體廢物的粒度組成對篩分效率影響較大。細粒透篩時,盡管其粒度小于篩 孔,但它們透篩的難易程度不同。粒度小于篩孔尺寸3/4的顆粒,很容易通過粗粒 形成的間隙到達篩面而透篩,稱之為"易篩粒";粒度大于篩孔尺寸3/4的顆粒,較 難通過粗粒形成的間隙,而且粒度越接近篩孔尺寸就越難透篩,這種顆粒稱為"難 篩粒"。廢物中"易篩粒"含量越多,篩分效率越高,而粒度接近篩孔尺寸的"難篩 粒"越多篩分效率則越低。當物料中難篩粒含量高時,可以適當增大篩孔尺寸。
固體廢物的含水率和含泥量對篩分效率也有一定的影響。水分含量小于 5%時,篩分效率高;當水分含量增加到5%一12%時,廢物外表面水分會使細粒 結團或附著在粗粒上.使其不易透篩,降低篩分效率;當廢物含水率較高時反而 造成顆粒活功性的提高,水分有提高細粒透篩的作用,但此時已屬于濕式篩分, 即濕式篩分的篩分效率較高。水分影響還與含泥量有關,當廢物中含泥量高時, 稍有水分就能引起細粒結團。
另外,廢物顆粒形狀對篩分效率也合影響,一般來說,球形、立方形、多邊形 顆粒篩分效率相對較高;而顆粒呈扁平狀或棒狀,用方形或圓形篩孔的篩子篩分 時,其篩分效率較低。
常見的篩面有棒條篩面、鋼板沖孔篩面和鋼絲編織篩網三種,其中棒條篩 面有效面積小,篩分效率低;編織篩網剛相反,釘效面積大.篩分效率高;沖孔篩 而介于兩者之間。
篩于運動方式對篩分效率有較大的影響,同一種團體廢物采用不同類型的 篩子進行篩分時,其篩分效率大致如表4—1所示。

即使是同一類型的篩子,如振動篩,它的篩分效率因受運動強度的影響而有 差別。當篩子運動強度不足時,篩面上物料不易松散和分層,細粒不易透篩,篩 分效率就不高;但運動強度過大又使廢物很快通過篩面排出,篩分效率也不高。
篩由寬度主要影響篩子的處理能力,其長度則影響篩分效率。負荷相等時。 過窄的篩面使廢物層增厚而不利于細粒接近篩面;過短的篩面則又使廢物篩分 時間太短,一般寬長比為l:(2.5—3)。
篩面傾角是為了便于篩上產品的排出.傾角過小不便于排出篩上產品,傾角 過大則篩上產品排出速度過快,篩分時間短,篩分效率低。一般篩面傾角為15°~25°。
在篩分操作中應注意連續均勻給料,使廢物沿整個篩面寬度鋪成一薄層,既 充分利用篩面。又便于細粒透篩.可以提高篩子的處理能力和篩分效率。及時清 形和維修篩面也是保證篩分效率的重要條件。
上一篇:粉碎過程速度解析概述
下一篇:輥式破碎機簡介